There are many known super-Jupiters that orbit their stars—they are detected through a slight Doppler wobble they induce on their stars [1]. But what would become of a rocky planet also orbiting those stars as they feel the tug of both the star and the super planet?
This is not of immediate concern for us, because our solar system has had its current configuration of planets for over 4 billion years. But there can be wandering interstellar planets or brown dwarfs that could visit our solar system, like Oumuamua did in 2017, but much bigger and able to scramble the planetary orbits. Such hypothesized astronomical objects have been given the name “Nemesis“, and it warrants thought on what living in an altered solar system might be like.
What would happen to Earth if Jupiter were 50 times bigger? Could we survive?
The Three-Body Problem
The Sun-Earth-Jupiter configuration is a three-body problem that has a long and interesting history, playing a key role in several aspects of modern dynamics [2]. There is no general analytical solution to the three-body problem. To find the behavior of three mutually interacting bodies requires numerical solution. However, there are subsets of the three-body problem that do yield to partial analytical approaches. One of these is called the restricted three-body problem [3]. It consists of two massive bodies plus a third (nearly) massless body that all move in a plane. This restricted problem was first tackled by Euler and later by Poincaré, who discovered the existence of chaos in its solutions.
The geometry of the restricted three-body problem is shown in Fig. 1. In this problem, take mass m1 = mS to be the Sun’s mass, m2 = mJ to be Jupiter’s mass, and the third (small) mass is the Earth.

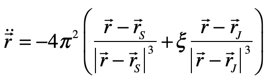
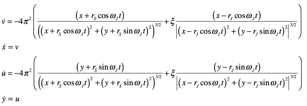
The equation of motion for the Earth is

where

and the parameter ξ characterizes the strength of the perturbation of the Earth’s orbit around the Sun. The parameters for the Jupiter-Sun system are

with

for the 11.86 year journey of Jupiter around the Sun. Eq. (1) is a four-dimensional non-autonomous flow

The solutions of an Earth orbit are shown in Fig.2. The natural Earth-Sun-Jupiter system has a mass ratio mJ/mS = 0.001 for Jupiter relative to the Sun mass. Even in this case, Jupiter causes perturbations of the Earth’s orbit by about one percent. If the mass of Jupiter increases, the perturbations would grow larger until around ξ= 0.06 when the perturbations become severe and the orbit grows unstable. The Earth gains energy from the momentum of the Sun-Jupiter system and can reach escape velocity. The simulation for a mass ratio of 0.07 shows the Earth ejected from the Solar System.

The chances for ejection depends on initial conditions for these simulations, but generally the danger becomes severe when Jupiter is about 50 times larger than it currently is. Otherwise the Earth remains safe from ejection. However, if the Earth is to keep its climate intact, then Jupiter should not be any larger than about 5 times its current size. At the other extreme, for a planet 70 times larger than Jupiter, the Earth may not get ejected at once, but it can take a wild ride through the solar system. A simulation for a 70x Jupiter is shown in Fig. 3. In this case, the Earth is captured for a while as a “moon” of Jupiter in a very tight orbit around the super planet as it orbits the sun before it is set free again to orbit the sun in highly elliptical orbits. Because of the premise of the restricted three-body problem, the Earth has no effect on the orbit of Jupiter.

Resonance
If Nemesis were to swing by and scramble the solar system, then Jupiter might move closer to the Earth. More ominously, the period of Jupiter’s orbit could come into resonance with the Earth’s period. This occurs when the ratio of orbital periods is a ratio of small integers. Resonance can amplify small perturbations, so perhaps Jupiter would become a danger to Earth. However, the forces exerted by Jupiter on the Earth changes the Earth’s orbit and hence its period, preventing strict resonance to occur, and the Earth is not ejected from the solar system even for initial rational periods or larger planet mass. This is related to the famous KAM theory of resonances by Kolmogorov, Arnold and Moser that tends to protect the Earth from the chaos of the solar system. More often than not in these scenarios, the Earth is either captured by the super Jupiter, or it is thrown into a large orbit that is still bound to the sun. Some examples are given in the following figures.



Life on a planet in a solar system with two large bodies has been envisioned in dramatic detail in the science fiction novel “Three-Body Problem” by Liu Cixin about the Trisolarians of the closest known exoplanet to Earth–Proxima Centauri b.
By David D. Nolte, Feb. 28, 2022
Matlab Code: body3.m
function body3
clear
chsi0 = 1/1000; % Earth-moon ratio = 1/317
wj0 = 2*pi/11.86;
wj = 2*pi/8;
chsi = 73*chsi0; % (11.86,60) (11.86,67.5) (11.86,69) (11.86,70) (4,60) (4,61.5) (8,73) (12,71)
rj = 5.203*(wj0/wj)^0.6666
rsun = chsi*rj/(1+chsi);
rjup = (1/chsi)*rj/(1+1/chsi);
r0 = 1-rsun;
y0 = [r0 0 0 2*pi/sqrt(r0)];
tspan = [0 300];
options = odeset('RelTol',1e-5,'AbsTol',1e-6);
[t,y] = ode45(@f5,tspan,y0,options);
figure(1)
plot(t,y(:,1),t,y(:,3))
figure(2)
plot(y(:,1),y(:,3),'k')
axis equal
axis([-6 6 -6 6])
RE = sqrt(y(:,1).^2 + y(:,3).^2);
stdRE = std(RE)
%print -dtiff -r800 threebody
function yd = f5(t,y)
xj = rjup*cos(wj*t);
yj = rjup*sin(wj*t);
xs = -rsun*cos(wj*t);
ys = -rsun*sin(wj*t);
rj32 = ((y(1) - xj).^2 + (y(3) - yj).^2).^1.5;
r32 = ((y(1) - xs).^2 + (y(3) - ys).^2).^1.5;
yp(1) = y(2);
yp(2) = -4*pi^2*((y(1)-xs)/r32 + chsi*(y(1)-xj)/rj32);
yp(3) = y(4);
yp(4) = -4*pi^2*((y(3)-ys)/r32 + chsi*(y(3)-yj)/rj32);
yd = [yp(1);yp(2);yp(3);yp(4)];
end % end f5
end
References:
[1] D. D. Nolte, “The Fall and Rise of the Doppler Effect,” Physics Today, vol. 73, no. 3, pp. 31-35, Mar (2020)
[2] J. Barrow-Green, Poincaré and the three body problem. London Mathematical Society, 1997.
[3] M. C. Gutzwiller, “Moon-Earth-Sun: The oldest three-body problem,” Reviews of Modern Physics, vol. 70, no. 2, pp. 589-639, Apr (1998)
[4] D. D. Nolte, Introduction to Modern Dynamics : Chaos, Networks, Space and Time, 2nd ed. (Oxford University Press, 2015).
This Blog Post is a Companion to the undergraduate physics textbook Modern Dynamics: Chaos, Networks, Space and Time, 2nd ed. (Oxford, 2019) introducing Lagrangians and Hamiltonians, chaos theory, complex systems, synchronization, neural networks, econophysics and Special and General Relativity.

