Once upon a time the World was flat, and sailors feared falling off the edge if they sailed too far…at least that is how the fairy tale is told.
Flat World was a simple World. Its inhabitants, the Flatworlders, carried vectors abount with them, vectors that were thick bundles of arrows, bound in a sheaf, that tended to point in a fixed direction. In Flat World, once a vector had been oriented one way, it kept that orientation, no matter what path the Flatworlder took, always being exactly the same when it returned to its starting point.
Then came Cristobal Colon, and Carl Gauss and Bernhard Riemann, and Flat World became Round World, and the carrying around of vectors was no longer such a simple thing. The surprising part was, when vectors returned to their starting point, even if they were carried with the greatest of care never to turn them or twist them, carrying them always parallel to themselves, they were never the same. At the end of every different journey, they pointed in a different direction.
How can this be? How can a vector, that was transported always parallel to itself, end up pointing in a different direction when it was carried around a closed loop?
The answer is Holonomy!
Great Circle Routes
We were taught in Euclidean Geometry that the shortest path between two points is a straight line. This lesson was fine for Flat World. But now that we live in Round Riemann World, we know that the shortest distance between two points on the surface of the Earth is along a great circle route. All great circles are Earth circumferences. They are defined by three points: the starting point, the ending point and the center of the Earth. The three points define a plane that intersects the surface of the Earth along a great circle.

Fig. 1. Great circle route from Rio de Janeiro, Brazil, to Seoul, Korea on a Winkel Tripel projection of the Earth.
The practical demonstration that great circles are shortest paths can be done with a string and a globe. Pick any two points on the surface of the globe and stretch the string tightly between them so that the string lies taught on the surface of the globe. If the two points are far enough apart (but no so far that they are nearly antipodal), then the string takes on the arc of a circle centered on the center of the globe.
Shortest paths on a curved surface, like a globe, are also known as geodesics. And now that we have our geodesic paths for the Earth, we can start playing around with the parallel transportation of vectors.
Parallel Transport
The game is simple. Start at the Equator with a vector that is pointing due North. Now, move the vector due North along a line of longitude (a geodesic) until you hit the North Pole. All the while, as you carry it along, the vector continues pointing due North on the surface of the Earth, never deviating. When you reach the North Pole, take a sharp turn right by 90 degrees, being careful not to twist or turn the vector in any way. Now, carry the vector with you due South along a new line of longitude until you hit the Equator, where again you take a sharp right turn by 90 degrees, and once again careful not to twist or turn the vector in any way. Then return to your starting point.
What you find, when you return home, is that the vector has turned through an angle of 90 degrees. Despite how careful you were never to twist or turn it—it has turned nonetheless. This is holonomy.

Holonomy
Holonomy, or more specifically Riemann holonomy, is the intrinsic twisting of vectors as they are transported parallel to themselves around a closed loop on a curved surface. The twist is something “outside” of the local transport of the vector. In the case of the Earth, this “outside” element is the curvature of the Earth’s surface. Locally, the Earth looks flat, and the vector is moved so that it always points in the same direction. But globally, the vector can slowly tilt as it moves along a geodesic path.
For the example of parallel transport on the Earth, look at the vector at its starting point and the vector when it reaches the North pole. Clearly the vector has rotated by 90 degrees, even despite of, or actually because of, its perfect Northward orientation along the line of longitude.
In this specific example, the solid angle of the closed path is a perfect eighth part of the total 4π solid angle of the surface, or 4π/8 = π/2. The angle by which the vector rotated on this path is precisely the same as the subtended solid angle. This is no coincidence—it is the consequence of the Gauss-Bonnet Theorem.
This theorem holds for any arbitrary closed path because any path can be viewed as if it were made up of lots of little segments of great circles. You can even pick a path that crosses itself, taking care to keep track of minus signs as solid angles add and subtract. For example, a perfect figure eight, if followed around smoothly, has no holonomy, because the two halves cancel.
Here, alas, we must leave our simple geometric games with great circles on the globe. To delve deeper into the origins of holonomy, it is time to turn to differential geometry.
Differential Geometry
Differential geometry is the application of differential calculus to geometry, in particular to geometric subspaces, also known as manifolds. A good example is the surface of a sphere embedded in three-dimensional space. The surface of a sphere has intrinsic curvature, where the curvature is defined as the inverse of the radius of the sphere.
One of the cornerstones of differential geometry is the operator known as the covariant derivative. It is defined as

This covariant derivative is a master at bookkeeping. Notice how the item on the left has an a-up and a b-down, as does the first term on the right. And if we think of the c-up and -down as canceling in the last term, then again we have a-up and b-down. The small-case “del” on the right is the usual partial derivative of Va with respect to xb. The second term on the right takes care of the intrinsic “twist” of the coordinates caused by curvature. As a bookkeeping device, covariant derivatives take care of the variation of a function as well as of the underlying variation of the coordinate frame. (The covariant derivative was crucial for Einstein when he was developing his General Theory of Relativity applied to gravity.)
One of the most important discoveries in differential geometry was may by Tullio Levi-Civita in 1917. Years before, Levi-Civita had helped develop tensor calculus with his advisor Gregorio Ricci-Curbastro at the University of Padua, and they published a seminal review paper in 1901 that Marcel Grossmann brought to Einstein’s attention when he was struggling to reconcile special relativity with gravity. Einstein and Levi-Civita corresponded in a series of famous letters in early 1915 as Einstein zeroed in on the final theory of General Relativity. Interestingly, that correspondence had as profound an effect on Levi-Civita as it had on Einstein. Once Einstein’s new theory was published in late 1915, Levi-Civita returned to tensor calculus to answer a critical question: What was the geometric meaning of the covariant derivative that was so crucial to the new theory of gravity?
To answer this question, Levi-Civita defined a new form of parallelism that held for vector fields on curved manifolds. The new definition stated that during the parallel transport of a vector along a path, its covariant derivative along that path vanishes. This definition is contained in the expression

where the ub on the left is the tangent vector of the path. Expanding this expression gives

and simplifying the first term yields the equation for parallel transport

For the surface of the sphere, with two variables θ and φ, these lead to two coupled ODEs

The Christoffel symbols for a spherical surface are

Yielding the equations for Parallel Transport of a vector on the Earth

These equations are all you need to calculate how much a vector rotates for any path taken across the face of the Earth.
Example: Parallel Transport Around a line of Latitude
One particularly simple path is a line of latitude. Lines of latitude are not geodesics (except for the Equator) and hence there will be a contribution to the twist of the vector caused by the curvature of the Earth. For lines of latitude, the equations of Parallel Transport become

The line element is

leading to the flow equations

where theta is fixed (in this case the angle relative to the North Pole) and φ is the dependent variable.

These copled ODEs are recognized as simple oscillations with the flow

and the initial value problem has the solution

where the angular frequency is the geometric mean of the coefficients

where λ is the latitude.
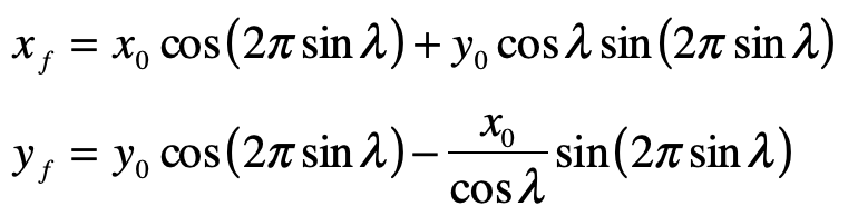
For a full rotation around a closed line of latitude, the parallel-transported vector components are

As an example, take an initial vector [0, 1] pointing due East along the line of latitude. Then parallel-transport it around latitude 30o North. This gives the final vector the components

which is now pointing due South. The vector has been rotated by 90-degrees even though it was transported always parallel to itself on the surface of the Earth. The solid angle subtended by the 30-th parallel is exactly π/2.
One final bookkeeping step is needed. It looks like the magnitude of the vector changed during the transport: y0 = 1, but xf = cosλ. However, cosλ = sinθ, which is exactly the metric coefficient on the dφ term of the line element, and the vector retains its magnitude in spherical coordinates.
Foucault’s Pendulum
Holonomy is a subtle effect, and it’s hard to find good examples in real life where it matters. But there is one demonstration that almost anyone has seen, at least anyone with an interest in science: Foucault’s pendulum. This is the very long pendulum that is often found in science museums around the world. As the Earth turns, the plane of oscillation of the pendulum slowly turns, and the pendulum bob often knocks down blocks that the museum staff set up in the morning to track the precessing plane.
In a classical mechanics class, the precession of Foucault’s pendulum is usually derived through the effect of the Coriolis force on the moving pendulum bob. The answer for the precession frequency, after difficult integrations between non-inertial frames, is

Alternatively, the normal vector to the plane of oscillation can be viewed as parallel-transported around a closed loop at constant latitude. The amount of precession per day is

which is exactly the same thing. Therefore, Foucault’s pendulum is a striking and exact physical demonstration of Whole World Holonomy.
Additional Reference: Physics Stack Exchange
