The most energetic physical processes in the universe (shy of the Big Bang itself) are astrophysical jets. These are relativistic beams of ions and radiation that shoot out across intergalactic space, emitting nearly the full spectrum of electromagnetic radiation, seen as quasars (quasi-stellar objects) that are thought to originate from supermassive black holes at the center of distant galaxies. The most powerful jets emit more energy than the light from a thousand Milky Way galaxies.
Where can such astronomical amounts of energy come from?
Black Hole Accretion Disks
The potential wells of black holes are so deep and steep, that they attract matter from their entire neighborhood. If a star comes too close, the black hole can rip the hydrogen and helium atoms off the star’s surface and suck them into a death spiral that can only end in oblivion beyond the Schwarzschild radius.
However, just before they disappear, these atoms and ions make one last desperate stand to resist the inevitable pull, and they park themselves near an orbit that is just stable enough that they can survive many orbits before they lose too much energy, through collisions with the other atoms and ions, and resume their in-spiral. This last orbit, called the inner-most stable circular orbit (ISCO), is where matter accumulates into an accretion disk.



The Innermost Stable Circular Orbit (ISCO)
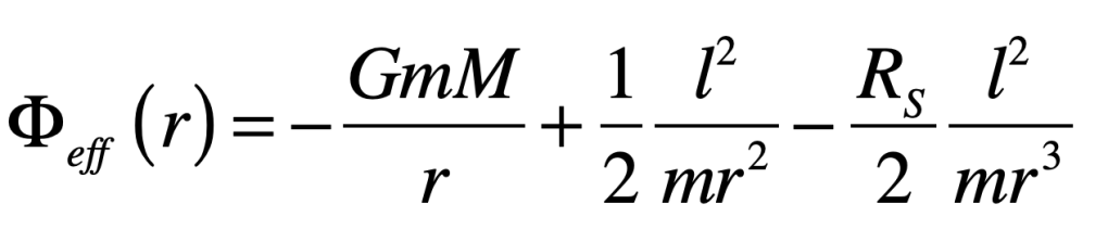
At what radius is the inner-most stable circular orbit? To find out, write the energy equation of a particle orbiting a black hole with an effective potential function as

where the effective potential is

The first two terms of the effective potential are the usual Newtonian terms that include the gravitational potential and the repulsive contribution from the angular momentum that normally prevents the mass from approaching the origin. The third term is the GR term that is attractive and overcomes the centrifugal barrier at small values of r, allowing the orbit to collapse to the center. This is the essential danger of orbiting a black hole—not all orbits around a black hole are stable, and even circular orbits will decay and be swallowed up if too close to the black hole.
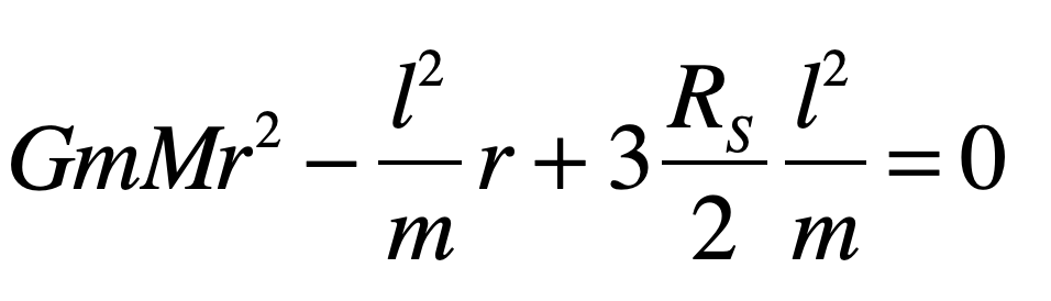
To find the conditions for circular orbits, take the derivative of the effective potential and set it to zero

This is a quadratic equation that can be solved for r. There is an innermost stable circular orbit (ISCO) that is obtained when the term in the square root of the quadratic formula vanishes when the angular momentum satisfies the condition

which gives the simple result for the inner-most circular orbit as

Therefore, no particle can sustain a circular orbit with a radius closer than three times the Schwarzschild radius. Inside that, it will spiral into the black hole.
A single trajectory solution to the GR flow [1] is shown in Fig. 4. The particle begins in an elliptical orbit outside the innermost circular orbit and is captured into a nearly circular orbit inside the ISCO. This orbit eventually decays and spirals with increasing speed into the black hole. Accretion discs around black holes occupy these orbits before collisions cause them to lose angular momentum and spiral into the black hole.

The gravity of black holes is so great, that even photons can orbit black holes in circular orbits. The radius or the circular photon orbit defines what is known as the photon sphere. The radius of the photon sphere is RPS = 1.5RS, which is just a factor of 2 smaller than the ISCO.
Binding Energy of a Particle at the ISCO
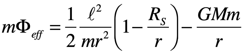
So where does all the energy come from to power astrophysical jets? The explanation comes from the binding energy of a particle at the ISCO. The energy conservation equation including angular momentum for a massive particle of mass m orbiting a black hole of mass M is

where the term on the right is the kinetic energy of the particle at infinity, and the second and third terms on the left are the effective potential

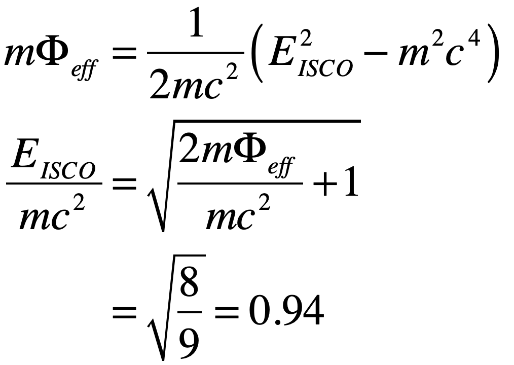
Solving for the binding energy at the ISCO gives

Therefore, 6% of the rest energy of the object is given up when it spirals into the ISCO. Remember that the fusion of two hydrogen atoms into helium gives up only about 0.7% of its rest mass energy. Therefore, the energy emission per nucleon for an atom falling towards the ISCO is TEN times more efficient than nuclear fusion!
This incredible energy resource is where the energy for galactic jets and quasars comes from.
[1] These equations apply for particles that are nonrelativistic. Special relativity effects become important when the orbital radius of the particle approaches the Schwarzschild radius, which introduces relativistic corrections to these equations.
This Blog Post is a Companion to the textbook Introduction to Modern Dynamics: Chaos, Networks, Space and Time, 2nd ed. (Oxford, 2019) that introduces topics of classical dynamics, Lagrangians and Hamiltonians, chaos theory, complex systems, synchronization, neural networks, econophysics and Special and General Relativity.


