Nature loves the path of steepest descent. Place a ball on a smooth curved surface and release it, and it will instantansouly accelerate in the direction of steepest descent. Shoot a laser beam from an oblique angle onto a piece of glass to hit a target inside, and the path taken by the beam is the only path that decreases the distance to the target in the shortest time. Diffract a stream of electrons from the surface of a crystal, and quantum detection events are greatest at the positions where the troughs and peaks of the deBroglie waves converge the most. The first example is Newton’s second law. The second example is Fermat’s principle and Snell’s Law. The third example is Feynman’s path-integral formulation of quantum mechanics. They all share in common a minimization principle—the principle of least action—that the path of a dynamical system is the one that minimizes a property known as “action”.
The Eikonal Equation is the “F = ma” of ray optics. It’s solutions describe the paths of light rays through complicated media.
The principle of least action, first proposed by the French physicist Maupertuis through mechanical analogy, became a principle of Lagrangian mechanics in the hands of Lagrange, but was still restricted to mechanical systems of particles. The principle was generalized forty years later by Hamilton, who began by considering the propagation of light waves, and ended by transforming mechanics into a study of pure geometry divorced from forces and inertia. Optics played a key role in the development of mechanics, and mechanics returned the favor by giving optics the Eikonal Equation. The Eikonal Equation is the “F = ma” of ray optics. It’s solutions describe the paths of light rays through complicated media.
Malus’ Theorem
Anyone who has taken a course in optics knows that Étienne-Louis Malus (1775-1812) discovered the polarization of light, but little else is taught about this French mathematician who was one of the savants Napoleon had taken along with himself when he invaded Egypt in 1798. After experiencing numerous horrors of war and plague, Malus returned to France damaged but wiser. He discovered the polarization of light in the Fall of 1808 as he was playing with crystals of icelandic spar at sunset and happened to view last rays of the sun reflected from the windows of the Luxumbourg palace. Icelandic spar produces double images in natural light because it is birefringent. Malus discovered that he could extinguish one of the double images of the Luxumbourg windows by rotating the crystal a certain way, demonstrating that light is polarized by reflection. The degree to which light is extinguished as a function of the angle of the polarizing crystal is known as Malus’ Law.

Malus had picked up an interest in the general properties of light and imaging during lulls in his ordeal in Egypt. (To read about Malus’ misadventures during Napoleon’s campaign in Egypt, see Chapter 1 of Interference.) He was an emissionist following his compatriot Laplace, rather than an undulationist following Thomas Young. It is ironic that the French scientists were staunchly supporting Newton on the nature of light, while the British scientist Thomas Young was trying to upend Netwonian optics. Almost all physicists at that time were emissionists, only a few years after Young’s double-slit experiment of 1804, and few serious scientists accepted Young’s theory of the wave nature of light until Fresnel and Arago supplied the rigorous theory and experimental proofs much later in 1819.

As a prelude to his later discovery of polarization, Malus had earlier proven a theorem about trajectories that particles of light take through an optical system. One of the key questions about the particles of light in an optical system was how they formed images. The physics of light particles moving through lenses was too complex to treat at that time, but reflection was relatively easy based on the simple reflection law. Malus proved a theorem mathematically that after a reflection from a curved mirror, a set of rays perpendicular to an initial nonplanar surface would remain perpendicular at a later surface after reflection (this property is closely related to the conservation of optical etendue). This is known as Malus’ Theorem, and he thought it only held true after a single reflection, but later mathematicians proved that it remains true even after an arbitrary number of reflections, even in cases when the rays intersect to form an optical effect known as a caustic. The mathematics of caustics would catch the interest of an Irish mathematician and physicist who helped launch a new field of mathematical physics.

Hamilton’s Characteristic Function
William Rowan Hamilton (1805 – 1865) was a child prodigy who taught himself thirteen languages by the time he was thirteen years old (with the help of his linguist uncle), but mathematics became his primary focus at Trinity College at the University in Dublin. His mathematical prowess was so great that he was made the Astronomer Royal of Ireland while still an undergraduate student. He also became fascinated in the theory of envelopes of curves and in particular to the mathematics of caustic curves in optics.
In 1823 at the age of 18, he wrote a paper titled Caustics that was read to the Royal Irish Academy. In this paper, Hamilton gave an exceedingly simple proof of Malus’ Law, but that was perhaps the simplest part of the paper. Other aspects were mathematically obscure and reviewers requested further additions and refinements before publication. Over the next four years, as Hamilton expanded this work on optics, he developed a new theory of optics, the first part of which was published as Theory of Systems of Rays in 1827 with two following supplements completed by 1833 but never published.
Hamilton’s most important contribution to optical theory (and eventually to mechanics) he called his characteristic function. By applying the principle of Fermat’s least time, which he called his principle of stationary action, he sought to find a single unique function that characterized every path through an optical system. By first proving Malus’ Theorem and then applying the theorem to any system of rays using the principle of stationary action, he was able to construct two partial differential equations whose solution, if it could be found, defined every ray through the optical system. This result was completely general and could be extended to include curved rays passing through inhomogeneous media. Because it mapped input rays to output rays, it was the most general characterization of any defined optical system. The characteristic function defined surfaces of constant action whose normal vectors were the rays of the optical system. Today these surfaces of constant action are called the Eikonal function (but how it got its name is the next chapter of this story). Using his characteristic function, Hamilton predicted a phenomenon known as conical refraction in 1832, which was subsequently observed, launching him to a level of fame unusual for an academic.
Once Hamilton had established his principle of stationary action of curved light rays, it was an easy step to extend it to apply to mechanical systems of particles with curved trajectories. This step produced his most famous work On a General Method in Dynamics published in two parts in 1834 and 1835 [1] in which he developed what became known as Hamiltonian dynamics. As his mechanical work was extended by others including Jacobi, Darboux and Poincaré, Hamilton’s work on optics was overshadowed, overlooked and eventually lost. It was rediscovered when Schrödinger, in his famous paper of 1926, invoked Hamilton’s optical work as a direct example of the wave-particle duality of quantum mechanics [2]. Yet in the interim, a German mathematician tackled the same optical problems that Hamilton had seventy years earlier, and gave the Eikonal Equation its name.
Bruns’ Eikonal
The German mathematician Heinrich Bruns (1848-1919) was engaged chiefly with the measurement of the Earth, or geodesy. He was a professor of mathematics in Berlin and later Leipzig. One claim fame was that one of his graduate students was Felix Hausdorff [3] who would go on to much greater fame in the field of set theory and measure theory (the Hausdorff dimension was a precursor to the fractal dimension). Possibly motivated by his studies done with Hausdorff on refraction of light by the atmosphere, Bruns became interested in Malus’ Theorem for the same reasons and with the same goals as Hamilton, yet was unaware of Hamilton’s work in optics.
The mathematical process of creating “images”, in the sense of a mathematical mapping, made Bruns think of the Greek word εικων which literally means “icon” or “image”, and he published a small book in 1895 with the title Das Eikonal in which he derived a general equation for the path of rays through an optical system. His approach was heavily geometrical and is not easily recognized as an equation arising from variational principals. It rediscovered most of the results of Hamilton’s paper on the Theory of Systems of Rays and was thus not groundbreaking in the sense of new discovery. But it did reintroduce the world to the problem of systems of rays, and his name of Eikonal for the equations of the ray paths stuck, and was used with increasing frequency in subsequent years. Arnold Sommerfeld (1868 – 1951) was one of the early proponents of the Eikonal equation and recognized its connection with action principles in mechanics. He discussed the Eikonal equation in a 1911 optics paper with Runge [4] and in 1916 used action principles to extend Bohr’s model of the hydrogen atom [5]. While the Eikonal approach was not used often, it became popular in the 1960’s when computational optics made numerical solutions possible.
Lagrangian Dynamics of Light Rays
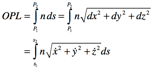
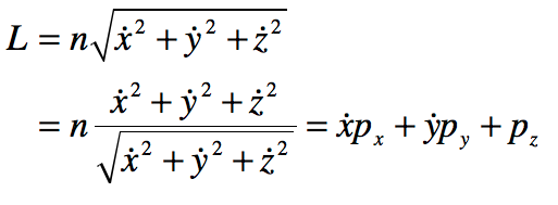
In physical optics, one of the most important properties of a ray passing through an optical system is known as the optical path length (OPL). The OPL is the central quantity that is used in problems of interferometry, and it is the central property that appears in Fermat’s principle that leads to Snell’s Law. The OPL played an important role in the history of the calculus when Johann Bernoulli in 1697 used it to derive the path taken by a light ray as an analogy of a brachistochrone curve – the curve of least time taken by a particle between two points.
The OPL between two points in a refractive medium is the sum of the piecewise product of the refractive index n with infinitesimal elements of the path length ds. In integral form, this is expressed as

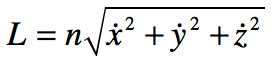
where the “dot” is a derivative with respedt to s. The optical Lagrangian is recognized as

The Lagrangian is inserted into the Euler equations to yield (after some algebra, see Introduction to Modern Dynamics pg. 336)

This is a second-order ordinary differential equation in the variables xa that define the ray path through the system. It is literally a “trajectory” of the ray, and the Eikonal equation becomes the F = ma of ray optics.
Hamiltonian Optics
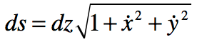
In a paraxial system (in which the rays never make large angles relative to the optic axis) it is common to select the position z as a single parameter to define the curve of the ray path so that the trajectory is parameterized as

where the derivatives are with respect to z, and the effective Lagrangian is recognized as

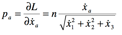
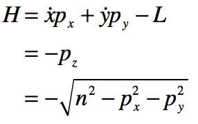
The Hamiltonian formulation is derived from the Lagrangian by defining an optical Hamiltonian as the Legendre transform of the Lagrangian. To start, the Lagrangian is expressed in terms of the generalized coordinates and momenta. The generalized optical momenta are defined as

This relationship leads to an alternative expression for the Eikonal equation (also known as the scalar Eikonal equation) expressed as

where S(x,y,z) = const. is the eikonal function. The momentum vectors are perpendicular to the surfaces of constant S, which are recognized as the wavefronts of a propagating wave.
The Lagrangian can be restated as a function of the generalized momenta as

and the Legendre transform that takes the Lagrangian into the Hamiltonian is

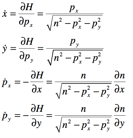
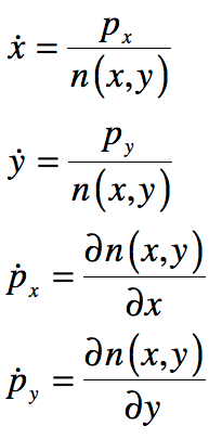
The trajectory of the rays is the solution to Hamilton’s equations of motion applied to this Hamiltonian

Light Orbits
If the optical rays are restricted to the x-y plane, then Hamilton’s equations of motion can be expressed relative to the path length ds, and the momenta are pa = ndxa/ds. The ray equations are (simply expressing the 2 second-order Eikonal equation as 4 first-order equations)

where the dot is a derivative with respect to the element ds.
As an example, consider a radial refractive index profile in the x-y plane

where r is the radius on the x-y plane. Putting this refractive index profile into the Eikonal equations creates a two-dimensional orbit in the x-y plane. The Eikonal Equation is the “F = ma” of ray optics. It’s solutions describe the paths of light rays through complicated media, including the phenomenon of gravitational lensing (see my blog post) and the orbits of photons around black holes (see my other blog post).
By David D. Nolte, May 30, 2019


Python Code: raysimple.py
The following Python code solves for individual trajectories. (Python code on GitHub.)
#!/usr/bin/env python3
# -*- coding: utf-8 -*-
"""
raysimple.py
Created on Tue May 28 11:50:24 2019
@author: nolte
D. D. Nolte, Introduction to Modern Dynamics: Chaos, Networks, Space and Time, 2nd ed. (Oxford,2019)
"""
import numpy as np
import matplotlib as mpl
from mpl_toolkits.mplot3d import Axes3D
from scipy import integrate
from matplotlib import pyplot as plt
from matplotlib import cm
import time
import os
plt.close('all')
# selection 1 = Gaussian
# selection 2 = Donut
selection = 1
print(' ')
print('raysimple.py')
def refindex(x,y):
if selection == 1:
sig = 10
n = 1 + np.exp(-(x**2 + y**2)/2/sig**2)
nx = (-2*x/2/sig**2)*np.exp(-(x**2 + y**2)/2/sig**2)
ny = (-2*y/2/sig**2)*np.exp(-(x**2 + y**2)/2/sig**2)
elif selection == 2:
sig = 10;
r2 = (x**2 + y**2)
r1 = np.sqrt(r2)
np.expon = np.exp(-r2/2/sig**2)
n = 1+0.3*r1*np.expon;
nx = 0.3*r1*(-2*x/2/sig**2)*np.expon + 0.3*np.expon*2*x/r1
ny = 0.3*r1*(-2*y/2/sig**2)*np.expon + 0.3*np.expon*2*y/r1
return [n,nx,ny]
def flow_deriv(x_y_z,tspan):
x, y, z, w = x_y_z
n, nx, ny = refindex(x,y)
yp = np.zeros(shape=(4,))
yp[0] = z/n
yp[1] = w/n
yp[2] = nx
yp[3] = ny
return yp
V = np.zeros(shape=(100,100))
for xloop in range(100):
xx = -20 + 40*xloop/100
for yloop in range(100):
yy = -20 + 40*yloop/100
n,nx,ny = refindex(xx,yy)
V[yloop,xloop] = n
fig = plt.figure(1)
contr = plt.contourf(V,100, cmap=cm.coolwarm, vmin = 1, vmax = 3)
fig.colorbar(contr, shrink=0.5, aspect=5)
fig = plt.show()
v1 = 0.707 # Change this initial condition
v2 = np.sqrt(1-v1**2)
y0 = [12, 0, v1, v2] # Change these initial conditions
tspan = np.linspace(1,1700,1700)
y = integrate.odeint(flow_deriv, y0, tspan)
plt.figure(2)
lines = plt.plot(y[1:1550,0],y[1:1550,1])
plt.setp(lines, linewidth=0.5)
plt.show()
New from Oxford University Press: Interference and the History of Light and Optics (2023)
Read the stories of the scientists and engineers who tamed light and used it to probe the universe.

Bibliography
An excellent textbook on geometric optics from Hamilton’s point of view is K. B. Wolf, Geometric Optics in Phase Space (Springer, 2004). Another is H. A. Buchdahl, An Introduction to Hamiltonian Optics (Dover, 1992).
A rather older textbook on geometrical optics is by J. L. Synge, Geometrical Optics: An Introduction to Hamilton’s Method (Cambridge University Press, 1962) showing the derivation of the ray equations in the final chapter using variational methods. Synge takes a dim view of Bruns’ term “Eikonal” since Hamilton got there first and Bruns was unaware of it.
A book that makes an especially strong case for the Optical-Mechanical analogy of Fermat’s principle, connecting the trajectories of mechanics to the paths of optical rays is Daryl Holm, Geometric Mechanics: Part I Dynamics and Symmetry (Imperial College Press 2008).
The Eikonal ray equation is derived from the geodesic equation (or rather as a geodesic equation) in D. D. Nolte, Introduction to Modern Dynamics, 2nd-edition (Oxford, 2019).
References
[1] Hamilton, W. R. “On a general method in dynamics I.” Mathematical Papers, I ,103-161: 247-308. (1834); Hamilton, W. R. “On a general method in dynamics II.” Mathematical Papers, I ,103-161: 95-144. (1835)
[2] Schrodinger, E. “Quantification of the eigen-value problem.” Annalen Der Physik 79(6): 489-527. (1926)
[3] For the fateful story of Felix Hausdorff (aka Paul Mongré) see Chapter 9 of Galileo Unbound (Oxford, 2018).
[4] Sommerfeld, A. and J. Runge. “The application of vector calculations on the basis of geometric optics.” Annalen Der Physik 35(7): 277-298. (1911)
[5] Sommerfeld, A. “The quantum theory of spectral lines.” Annalen Der Physik 51(17): 1-94. (1916)

[…] The Iconic Eikonal and the Optical Path […]
LikeLike
[…] The Iconic Eikonal and the Optical Path […]
LikeLike
[…] The Iconic Eikonal and the Optical Path […]
LikeLike
[…] The Iconic Eikonal and the Optical Path […]
LikeLike
[…] The Iconic Eikonal and the Optical Path […]
LikeLike
[…] The Iconic Eikonal and the Optical Path […]
LikeLike
[…] The Iconic Eikonal and the Optical Path […]
LikeLike
Hi David – I just ran across your wonderful blog. Thank you for putting it together – and I’m looking forward to a lot of wonderful reading. A question on the orbit diagrammed above, if you have the time. It shows precession. What’s the intuition around why the Eikonal equation generates that? The obvious next question is does it have any relation to the precession predicted by GR? Thank you!
LikeLike
Actually, despite the precession in both phenomena, the physical origins are quite different. Massive particles have inertia that introduce additional effects on their trajectories. Photons follow pure null geodesics.
LikeLike
Thanks for nice post.
But I have some typo at your python script.
I think that y0 = [12, v1, 0, v2] should be changed to [12, 0, v1, v2].
LikeLike
I am one question.
As I understand, p is defined by n * x_dot / sqrt(x_dot^2 + y_dot^2) ; x_dot = dx\ds
simply, p_x = v_x * n , not just v_x
And in you python code, I guess that, v1 stands for p1.
Is it correct?
If then, I think that, the initial condition in the python code
v1 = 0.707
v2 = np.sqrt(1-v1**2)
should be changed to
v1 = 0.707 * index of refraction at (12, 0)
v2 = np.sqrt(1-v1**2) * index of refraction at (12.0)
because p_x is not just v_x but refractive index times v_x
LikeLike